Contents
1. Introduction
2. Coupled Thermal/Magnetic Field Analyses of a Superconductor
3. Overcurrent Analysis of a No-insulation Pancake Coil
3.1 Analysis Model
3.2 Analysis Results
4. Conclusion
5. Reference
1. Introduction
Quenching is a critical operational challenge for superconducting machines. Simulations are vital for precisely predicting quench behavior to enhance the safety and reliability of superconducting systems.
A quench event starts when a superconductor shifts from a superconducting to normal state due to the collapse of superconductivity in a localized area of the coil. This normal resistive state is known for rapidly producing and propagating Joule heat. The collapse of superconductivity occurs when the temperature rise as well as local peaking of the current density or magnetic flux density cause the characteristics to exceed the critical conditions for superconductivity. The following are essential to precisely analyze quench phenomenon:
- A high-fidelity electromagnetic field model that can accurately simulate the shielding current unique to superconductors
- Modeling of nonlinear superconducting materials influenced by the temperature and current/magnetic flux densities
- A coupled analysis that accounts for the generation and propagation of Joule heat as well as the interaction between the heat and electromagnetic fields
This paper introduces a simulation to comprehensively analyze the physical phenomenon during a quench event. The case study analyzes a no-insulation pancake coil that uses Rare-earth Barium Copper Oxide (REBCO) tape wires as a high-temperature superconductor presented in Fig. 1.
Fig. 1 No-insulation Pancake Coil – Left: Full Model; Right: Enlarged Coil Cross-section
2. Coupled Thermal/Magnetic Field Analyses of a Superconductor
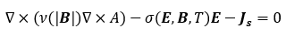
The governing equation below is derived from Maxwell’s equations and the magnetic vector potential method (A-formulation).

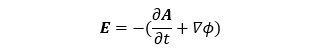
\(B\) denotes the magnetic flux density, \(A\) is the magnetic vector potential, \(E\) is the electric field, and \(T\) represents the temperature. The material properties are represented by the magnetic reluctivity \(\nu\) and electrical conductivity \(\sigma\), while \(J_s\) denotes the forced current density. The equation below utilizes the electric scalar potential \(\phi\) to express the electric field.

An n-value model used to simulate the material properties for the electrical conductivity of the superconductor accounts for the electric field, magnetic flux density, and temperature dependency as illustrated by Equation (3).

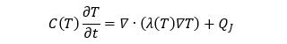
Equation (4) obtains the temperature through a heat transfer equation to express the temperature-dependent electrical conductivity of the superconductor.

\(C(T)\), \(\lambda(T)\), and \(Q_J\) represent the thermal capacity, thermal conductivity, and heat generation. Equation (1) obtains the Joule losses for the superconductor and normal conductor, which is utilized as the heat source in Equation (4) to calculate the temperature. The next time step reflects the temperature obtained by Equation (4) to the electrical conductivity in Equation (1) before solving Equation (1) again. The analysis progresses using this type of weak sequential coupling method.
3. Overcurrent Analysis of a No-insulation Pancake Coil
3.1 Analysis Model
Table 1 provides the pancake coil specifications used for this analysis. The simulation applies 0.5 A of current per second from 0 A to 100 A as an overcurrent test.
Table 1 Pancake Coil Specifications
| Inner diameter | 60 (mm) |
|---|---|
| Outer diameter | 66 (mm) |
| Turns | 30 |
| Tape width | 4 (mm) |
| Copper layer thickness | 20 (μm) |
| Substrate layer thickness | 50 (μm) |
| Superconducting layer thickness | 10 (μm) |
You need to sign in as a Regular JMAG Software User (paid user) or JMAG WEB MEMBER (free membership).
By registering as a JMAG WEB MEMBER, you can browse technical materials and other member-only contents for free.
If you are not registered, click the “Create an Account” button.
Create an Account Sign in



