Contents
1. Introduction
2. Electromagnetic Finite Element Analysis Method Accounting for Displacement Currents
3. Comparison of Impedance Characteristics Obtained by Full-Wave FEA Against Measured Results
4. Summary
5. References
1. Introduction
Chopper circuits and other power conversion systems are operating at higher frequencies due to the recent prevalence of wide-bandgap semiconductors, such as SiC and GaN. Higher frequencies are essential to miniaturize systems and increase efficiency. However, skin and proximity effects as well as the parasitic components of stray capacitance between the windings make the impedance characteristics more complex and increase the losses and EMI noise. Accurate prediction of the impedance characteristics that accounts for the high-frequency phenomenon during the machine design and optimization phase is critical.
This paper describes an approach for modeling a wide-band impedance analysis using an electromagnetic finite element analysis that takes into account displacement currents (Full-Wave FEA). We also compare the impedance characteristics of the chopper inductor obtained using this analysis against measured results to illustrate the fidelity and reasons for that accuracy.
2. Electromagnetic Finite Element Analysis Method Accounting for Displacement Currents
This section describes the Full-Wave FEA approach. This type of analysis can evaluate a wider band of frequencies and is crucial for analyzing high frequencies and microwave bands where electromagnetic wave propagation, radiation, and resonance become dominant. One distinct feature of Full-Wave FEA is the inclusion of the \(\frac{\partial \mathit{D}}{\partial t}\) displacement currents term via the Ampere-Maxwell law. The inclusion of the displacement current enables magnetic field analyses to accurately evaluate electromagnetic wave propagation influenced by the electrical properties and dimensions of the machine structure as well as the dimensional resonance and other such phenomenon.
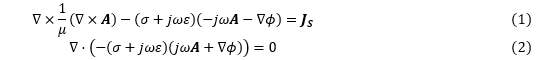
Full-Wave FEA is a frequency domain analyses that uses the A-phi method as a system of equations governing the analysis that consists of Equation (1) for the magnetic vector potential A and Equation (2) for the electric scalar potential \(\phi\). Equation (1) is derived from the Ampere-Maxwell law. Equation (2) is derived from the Law of Conservation of Charge.

\(\mathit{J}_s\) is the forced current density. \(\mu\) is the permeability. \(\sigma\) is the electrical conductivity. \(\varepsilon\) is the permittivity.
\(-j\omega \mathit{A} - \nabla \phi\) in the brackets of the second term in Equation (1) is the electric field \(\mathit{E}\). The \(j\omega\varepsilon \mathit{E}\) obtained when expanding the second term of Equation (1) is the displacement current. The term for the displacement current accounts for the displacement current components through the dielectric characteristics \(\varepsilon\). A standard magnetic field frequency domain analysis that does not account for the displacement current solves Vector Equations (3) and (4) that do not include the term for the displacement current.

This paper considers how accurately Full-Wave FEA can simulate the impedance characteristics compared to measured results from a physical standpoint. Reference largely categorizes the causes of resonance present in inductor impedance into the inherent characteristics of a magnetic material, self-resonance due to winding stray capacitance, and windings that act as a distributed constant line. This paper also describes the inherent resonance of magnetic materials as the natural resonance and dimensional resonance. Natural resonance is the magnetic resonance produced by the inherent magnetic anisotropy of a material not influenced by an external field. The material properties influence the natural resonance. Dimensional resonance is a standing wave phenomenon in a magnetic material caused when a traveling wave overlaps in phase with the incident wave. The machine structure influences the dimensional resonance. Table 2.1 summarize how Full-Wave FEA simulates each resonance phenomena.
Table 2.1 Resonance Phenomenon in Full-Wave FEA to Obtain Inductor Impedance Characteristics
| Resonance Phenomena | Full-Wave FEA Process | |
|---|---|---|
| Resonance inherent to magnetic materials | Natural resonance |
|
| Dimensional resonance |
|
|
| Self-resonance | Entire machine structure acting as a lumped LC resonant circuit |
|
| A portion of the machine structure acting as a localized LC resonant circuit (multiple resonance) |
||
Full-Wave FEA formulation and input data can comprehensively simulate all the physical mechanisms of the impedance characteristics as summarized in Table 2.1. The ability to simulate the actual impedance characteristics is the principal advantage of Full-Wave FEA.
3. Comparison of Impedance Characteristics Obtained by Full-Wave FEA Against Measured Results
This section compares the Full-Wave FEA results against measured data using a filter inductor model to validate the effectiveness of the Full-Wave FEA described in Section 2. This paper uses the toroidal core filter inductor described in Reference as data for the comparison. The analysis evaluates two different models. One is a 3-turn model that has significant dimensional resonance. The other is a 50-turn model that has significant multiple resonance produced by windings that create multiple LC resonance circuits. We also use the material properties described in Reference as input parameters for the FEA models. The model geometry is shown in Fig. 3.1, material properties in Table 3.1, and mesh information in Table 3.2.
Fig. 3.1 Model geometries
Table 3.1 Material properties
| Part | Magnetic Properties | Electric Properties |
|---|---|---|
| Core | Relative permeability: See Fig. 3.2 and this source is Reference |
Electric conductivity: 2 (S/m) Relative permittivity: See Fig. 3.2 and this source is Reference |
| Coil | Relative permeability – Real: 1, Imaginary: 0 |
Electric conductivity: 5.98×107 (S/m) Relative permittivity: Real: 1, Imaginary: 0 |
| Bobbin | Relative permeability – Real: 1, Imaginary: 0 |
Electric conductivity: 0 (S/m) Relative permittivity: Real: 6, Imaginary: 0 |
You need to sign in as a Regular JMAG Software User (paid user) or JMAG WEB MEMBER (free membership).
By registering as a JMAG WEB MEMBER, you can browse technical materials and other member-only contents for free.
If you are not registered, click the “Create an Account” button.
Create an Account Sign in



