目次
1. 概要
2. 変位電流を考慮した電磁界有限要素解析手法
3. Full-Wave FEAから得られるインピーダンス特性の実測比較
4. まとめ
5. 参考文献
1. 概要
近年、SiCやGaNなどのワイドバンドギャップ半導体の普及に伴い、チョッパ回路をはじめとする電力変換器は、一層の高周波駆動化が進んでいる。高周波化はシステムの小型・高効率化に不可欠だが、同時にインダクタの表皮効果や近接効果、巻線間の浮遊容量といった寄生成分の影響によりインピーダンス特性を複雑化させ、損失増加やEMIノイズ増大の要因となる。機器の設計・最適化フェーズにおいて、これらの高周波現象を考慮したインピーダンス特性を正確に予測することは極めて重要である。
本稿では、変位電流を考慮した電磁界有限要素解析(Full-Wave FEA)を用いた広帯域インピーダンス特性解析モデリングについて説明する。また、これにより得られるチョッパインダクタのインピーダンス特性について実測比較を行ない、その精度と、その精度が得られる理由を示す。
2. 変位電流を考慮した電磁界有限要素解析手法
ここではFull-Wave FEAについて説明する。この手法は、評価する周波数帯域が広く、電磁波の伝播や反射、共振といった現象が支配的となる高周波・マイクロ波帯域の解析において不可欠である。Full-Wave FEAの特徴は、アンペール・マクスウェルの法則における変位電流項 \(\frac{\partial \mathit{D}}{\partial t}\) を計算に含める点にある。変位電流項を含めることで、構造物の誘電特性や寸法に依存して発生する電磁波の伝播や、寸法共鳴などの影響を正確に考慮した磁界解析を行うことができる。
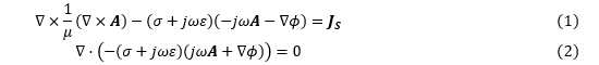
ここでは、Full-Wave FEAにおける周波数応答解析の基礎方程式として、磁気ベクトルポテンシャル \(\mathit{A}\) に関する(1)式および電気スカラポテンシャル \(\phi\) に関する(2)式の連立方程式で示されるA-φ法を用いて計算を行った。なお、(1)式はアンペール・マクスウェルの法則に、(2)式は電荷保存則に由来する。

ここで、 \(\mathit{J}_s\) は強制電流密度、 \(\mu\) は透磁率、 \(\sigma\) は電気伝導率、 \(\varepsilon\) は誘電率である。
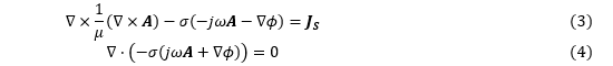
(1)式第二項の括弧内の \(-j\omega \mathit{A} - \nabla \phi\) は電界 \(\mathit{E}\) であり、(1)式第二項を展開した際に得られる \(j\omega \varepsilon \mathit{E}\) が変位電流項である。この項により誘電体特性 \(\varepsilon\) を介した変位電流の成分が考慮される。なお、変位電流を考慮しない通常の磁界周波数応答解析ではこの項を含まない(3)、(4)式のベクトル方程式が使用される。

Full-Wave FEAで実測のインピーダンス特性をどの程度正確に表現できるかを物理的視点からも考える。文献によると、インダクタインピーダンスに現れる共振の要因は「磁性材料固有の共振」、「自己のインダクタンスおよび寄生成分によって生じるLC共振」に大別されるとされており、さらに磁性材料固有の共振は「自然共鳴」と「寸法共鳴」に分類できると述べられている。自然共鳴は、外部磁界の存在なしに材料固有の磁気異方性によって生じる磁気共鳴の呼称であり、材料特性に依存する。寸法共鳴は、進行波と入射波が同相で重なり合うことによって、磁性体内部に定在波が形成される現象であり、構造に依存する。それぞれの要素がFull-Wave FEAにおいてどう表現されるかを表2-1にまとめた。
表2-1 インダクタインピーダンス特性についてのFull-Wave FEAにおける共振要因の扱い
| 共振の要因 | Full-Wave FEAでの扱い | |
|---|---|---|
| 磁性材料固有の共振 | 自然共鳴 |
|
| 寸法共鳴 |
|
|
| 自己共振 | 機器全体が単一のLC回路としてふるまう |
|
| 機器の一部がLC回路としてふるまう(多重共振) | ||
表2-1より、インピーダンス特性を構成するすべての物理的要因がFull-Wave FEAの定式化と入力情報によって包括的に表現できていることが分かる。このことは、実測インピーダンス特性の再現に対するFull-Wave FEAの原理的な優位性を示すものである。
3. Full-Wave FEAから得られるインピーダンス特性の実測比較
ここでは、第2章で述べたFull-Wave FEAの効果を検証するため、フィルタインダクタモデルを用いて、実測データとFull-Wave FEAによる計算結果を比較する。比較データとして、文献の、トロイダルコア構造を採用したフィルタインダクタを使用した。この内、寸法共鳴の影響が大きいとされる3ターンモデルと、巻線が多数のLC共振回路を形成することで起きる多重共振の影響が大きいとされる50ターンモデルの2モデルを比較検証に使用した。FEAモデルへの入力パラメータとなる材料特性は文献のものを使用した。モデル形状を図3-1、材料情報を表3-1、メッシュ情報を表3-2に示した。
図3-1 モデル形状
表3-1 各部品の材料情報
| 部品 | 磁化特性 | 電気特性 |
|---|---|---|
| コア | 比透磁率:図3-2参照(文献より) | 電気伝導率:2 (S/m) 比誘電率:図3-2参照(文献より) |
| コイル | 比透磁率:実部1, 虚部0 | 電気伝導率:5.98×107 (S/m) 比誘電率:実部1, 虚部0 |
| ボビン | 比透磁率:実部1, 虚部0 | 電気伝導率:0 (S/m) 比誘電率:実部6, 虚部0 |
『JMAGソフトウェア正規ユーザー(有償会員)』または『JMAG WEB MEMBER(無料会員)』でサインインが必要です。
『JMAG WEB MEMBER(無料会員)』へ登録することで、技術資料やそのほかの会員限定コンテンツを無料で閲覧できます。
登録されていない方は「新規会員登録」ボタンをクリックしてください。



